Effect of Electromigration on Grooving:

Setup 2: CCT Experiments

 

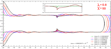
Asymmetry towards extra mass accumulation in the windward side of the GB becomes more pronounced with the increase in the electronwind intensity parameter.

figure 8

During these experiments cathode area shrinkage and

cathode edge drift is probed...